年齢に関係なく20代からバリバリ仕事をこなし、高収入を得られるフリーランスWebエンジニア。若いうちから稼げるという話を聞くと、そうなりたいと感じる方もいるでしょう。
しかし、いざ目指そうとすると
「フリーランスWebエンジニアって本当に稼げるの?」
「会社員とフリーランスって結局どっちが良いんだ?」
「フリーランスWebエンジニアってどうやったらなれるんだろう?」
などと頭を悩ませることも多いはず。実際、フリーランスWebエンジニアのことは漠然としたイメージだけで詳しくは知らないといった方も多いでしょう。
そこで、今回はフリーランスWebエンジニアの仕事内容から案件の種類、年収を紹介します。未経験からフリーランスWebエンジニアになる5STEPも合わせて解説するので、ぜひ参考にしてください。
フリーランスのミカタでは
フリーランスエンジニアの方向けの高単価案件を多く扱っています。
ご興味のある方は下記バナーからお問い合わせください。
フリーランスWebエンジニアの仕事内容

ここでは、フリーランスWebエンジニアの仕事内容を3つにまとめて紹介します。
- ホームページ制作
- スマホアプリ開発
- Webアプリケーション開発
ホームページ制作
ホームページ制作では、クライアントの業種などに合わせたデザインのホームページを制作します。ホームページ制作案件だとあまりプログラミングの知識がない人でも簡単に操作できるWordpressで構築することが多いです。
そのため、ホームページ制作はHTML・CSSに加えてPHPのスキルが求められます。個人ブログなどを開設してアフィリエイトなどでお金を稼ぎたいと思っている人は多く、ホームページ制作の需要は高いです。
クライアントは個人・企業と多岐にわたり、在宅でも仕事を受けやすいことからフリーランスに人気がある案件の1つです。
スマホアプリ開発
スマホは私達の生活に欠かせないものであり、スマホゲームの開発案件も多いです。加えて、スマホアプリを導入して顧客数アップにつなげようとする企業は増えています。
スマホアプリだとiOS系はSwift、Android系はJavaやC#で開発するのが一般的です。
加えて、クラウドを使って開発する企業が増えており、案件に参画するためにはプログラミングのスキルだけでなくクラウドを使った実務経験が求められることが多いです。
Webアプリケーション開発
Webアプリケーションは、業務で使うWebシステムやWebサービスなど様々です。
クラウドソーシングを通して個人で仕事を引き受ける場合は、クライアントからどんなアプリケーションを作りたいのかをヒアリングし、提案を行いながら開発を進めていきます。
また、客先常駐だと他のフリーランスや常駐先の社員と一緒にチーム体制で開発を行うことになります。
フリーランスWebエンジニアの案件の種類を紹介

ここでは、フリーランスWebエンジニアの案件の種類を、3つにまとめて紹介します。
- 運用・保守
- 開発
- 要件定義などの上流工程
運用・保守
運用・保守案件では、開発したアプリケーションがより便利になるように機能の増設などのメンテナンスや作業や、トラブル発生時の不具合の修繕作業などを行います。
フリーランスWebエンジニアの業務の中でも最も簡単で、実務経験が短い人でも獲得しやすいのが運用・保守案件です。そのため、経験年数が2年未満や仕事が見つからない場合には、運用・保守から挑戦してみると良いでしょう。
開発
仕様書をもとに、実際にコードを書いてアプリケーションなどを作るのが開発の仕事です。Webエンジニアと言われると真っ先に開発の仕事をイメージする人も多いのではないでしょうか。
Web系開発だと、複数の言語・フレームワークを使用して開発することも多いです。そのため、フリーランスWebエンジニアとして開発案件に参画するなら、複数の言語を使う案件を経験することをおすすめします。
要件定義などの上流工程
要件定義・設計など、開発するアプリケーションなどの仕様を決める作業が上流工程にあたります。上流工程だとコードはあまり書かず、仕様に関する話し合いや、資料の作成がメインとなります。
ただ、Web系開発の現場だと、特に中小企業では上流工程と開発業務をまとめて任される案件が多い傾向にあります。
フリーランスWebエンジニアと会社員どっちが稼げる?

結論として、フリーランスWebエンジニアの方が短期間で多くの収入を得られる可能性は高いです。
収入に差が生まれる理由は、稼ぎ方の仕組みの違いにあります。フリーランスは、経験年数よりも技術力により単価が異なるため、年齢に関係なく高収入を得られる可能性があります。
しかし、技術力が伴わないといつまでも収入が上がらず、なかには仕事が獲得できなくなってしまう方もいます。一方の会社員は経験年数を重視する関係で、年齢が上がるにつれ収入が上がる年功序列の固定報酬です。
技術力がいかに高くとも収入が上がることは少なく、同年代の会社員の方と差がつくことはないでしょう。そのため、技術力に応じた成果報酬で高収入を稼げるようになりたい方はフリーランスWebエンジニアがおすすめです。
フリーランスのミカタでは
フリーランスエンジニアの方向けの高単価案件を多く扱っています。
ご興味のある方は下記バナーからお問い合わせください。
フリーランスWebエンジニアの年収ってどれくらい?

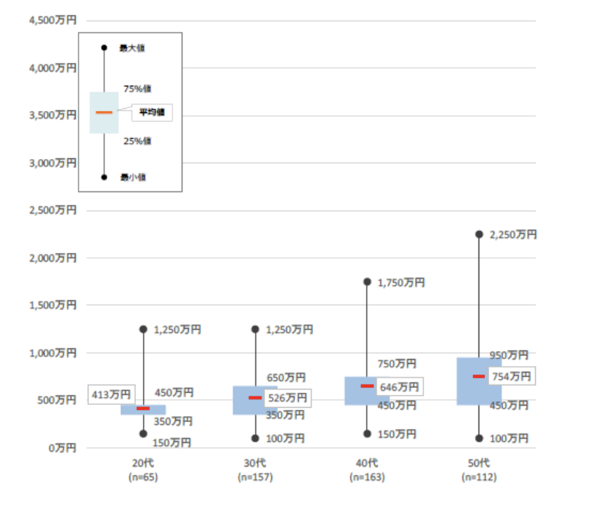
フリーランスWebエンジニアの平均年収はどれくらいなのでしょうか。Relanceが発表した「フリーランスエンジニア白書」のデータをもとに、年代別のフリーランスWebエンジニアの年収を算出しました。
20代
20代のフリーランスエンジニアの平均年収は510万円です。国税庁が発表した2023年度民間給与実態統計調査によると日本の平均年収が460万円という結果が得られています。
30代以下のフリーランスWebエンジニアは、会社員よりも少し年収が高い程度と捉えておきましょう。ただ、フリーランスエンジニアの平均年収は正社員と比べて上と下の差が大きい点に要注意です。
現に、経済産業省が提供した平成28年のIT人材の年齢別年収分布は次のとおりです。

上記の表によると、20代では年収の最大値が1,250万円で最小値は150万円です。
フリーランスWebエンジニアはスキルや実績により単価が異なり、仕事量もコントロール可能です。フリーランスでは年収の高い人と低い人の差が多いため、平均年収のみに注目するのではなく、中央値も気にするといいでしょう。
30代
30代のフリーランスエンジニアの平均年収は558万円です。ちなみに、求人ボックスによると正社員Webエンジニアの平均年収は462万円でした。

「フリーランスは稼げる」とよく言われるように、フリーランスのほうが100万円近く年収が高い結果です。ちなみに、30代のフリーランスは年収300〜500万未満の人が最も多い結果も得られています。

20代よりも30代の方が平均年収が高く、Webエンジニアとしてのスキルや実績が高い傾向にあるからでしょう。
40代
40代のフリーランスエンジニアの平均年収は620万円です。
フリーランスWebエンジニアは、年代が高くなるにつれて年収も上がります。ただし、フリーランスで40代を過ぎても年収が上がらなければ、スキルが足りず下流工程しかできない可能性が高いです。
スキルや実績のある若い人に仕事を取られてしまうと稼げない問題に直面しやすくなります。フリーランスになりたいなら、どうすれば40代・50代になっても仕事を得られるかを考えたうえで独立を決めるのが賢明です。
フリーランスのミカタでは
フリーランスエンジニアの方向けの高単価案件を多く扱っています。
ご興味のある方は下記バナーからお問い合わせください。
フリーランスWebエンジニアになるメリット

フリーランスWebエンジニアが自分の期待する働き方なのかを確認するといいでしょう。そこで、ここからはフリーランスWebエンジニアになるメリットを、3つにまとめて紹介します。
- 自由な時間と場所で働きやすい
- スキルに応じて収入アップが期待できる
- 自分の好きな仕事を受注できる
自由な時間と場所で働きやすい
フリーランスWebエンジニアになると、自由な時間と場所で働きやすくなります。自由な時間と場所で働きやすくなると、プライベートの充実が可能です。
フリーランスWebエンジニアの案件には、指定されたオフィスで働く「常駐案件」と働く場所と時間が指定されない「在宅案件」があります。
フリーランスになると案件を自分で決められるため、在宅案件を選べば自宅で仕事することも可能です。通勤時間がかからないため、時間を有効に使えます。
自由な時間と場所で働ける案件を選べることもフリーランスWebエンジニアのメリットの1つです。
スキルに応じて収入アップが期待できる
フリーランスWebエンジニアは、スキルに応じて収入アップが期待できます。スキルに応じて収入アップが期待できると、フリーランスとして働くモチベーションを上げられるでしょう。
フリーランス案件では、案件獲得に必要なスキルが多いほど、案件単価が高い傾向にあります。そのため、次に習得したいスキルを扱う案件があれば、積極的に応募するのが賢明です。
たとえ、実績がなくても習得したい意欲や他のスキルが十分にあれば、案件へ参画できることが多くあります。
上記のような案件へ参画できれば、スキルに加えて収入アップも期待できるのです。
自分の好きな仕事を受注できる
自分で好きな仕事を受注できることも、フリーランスWebエンジニアになるメリットの1つです。自分で好きな仕事を受注できれば、より専門性を高めたり幅広い案件に参画できるといった自分の希望する働き方ができます。
たとえば、フリーランスWebエンジニアとしてホームページ作成やアプリ開発に特化して働くことが可能です。逆に、さまざまな案件へ参画できるように、ホームページの作成とアプリ開発の両方のスキルを身に着ける働き方もできます。
フリーランスWebエンジニアで働くと、自分の目指す働き方を実現しやすくなるのです。
フリーランスWebエンジニアになるデメリット

フリーランスWebエンジニアへの独立後に「知らなかった…」とならないようデメリットもおさえておきましょう。そこで、ここからはフリーランスWebエンジニアになるデメリットを、3つにまとめて紹介します。
- 収入が不安定になりやすい
- 日々のスキルアップが欠かせない
- 精神的に追い込まれやすい
収入が不安定になりやすい
フリーランスWebエンジニアになると、収入が不安定になりやすい傾向があります。案件へ応募するのは自分だけでないうえに、クライアントに選ばれなければ仕事が得られません。
案件の条件が良い仕事ほど応募者は多く、クライアントが期待する実績やスキルが必要です。加えて、フリーランスWebエンジニアが担う仕事はプロジェクトの一部であり、次工程の計画が決められています。
そのため、クライアントが求めるレベルの仕事をしつつ、納期を守れるフリーランスを選びたいのです。フリーランスWebエンジニアは案件を獲得できなければ収入は得られないため、独立すると収入が不安定になりやすい側面があります。
日々のスキルアップが欠かせない
日々のスキルアップが欠かせないことも、フリーランスWebエンジニアになるデメリットの1つです。日々スキルアップをしなければ、クライアントのニーズに応えられない可能性があります。
たとえば、Web開発では作業効率を上げるためにフレームワークを使うことがほとんどです。ここでいうフレームワークとは、Web開発に必要な機能をあらかじめパッケージ化したものを指します。
Web開発で利用されるフレームワークはさまざまな種類があり、それぞれ特徴が異なります。そのため、案件ごとに使用するフレームワークが異なる可能性が高いのです。
案件を獲得しやすくするためにも、フリーランスになると、自ら新たなスキルを身に着ける必要があります。
精神的に追い込まれやすい
フリーランスWebエンジニアは、精神的に追い込まれやすいことがあります。なぜなら、フリーランスになるとプロジェクトメンバーはいるものの、作業は一人で行うからです。
会社員であれば近くに上司や先輩がいて、相談すれば不明点をすぐに解決できます。ただし、フリーランスになり在宅案件を選ぶと、近くにすぐ相談できる相手がいません。
少し話すと解決できる悩みや疑問点なども一人で抱え込み、精神的に追い込まれやすくなるのです。
フリーランスWebエンジニアに向いている人・向いていない人

フリーランスWebエンジニアには向き・不向きがあります。そこで、フリーランスWebエンジニアに向いている人と向いていない人の特徴を、紹介します。
- フリーランスWebエンジニアに向いている人
- フリーランスWebエンジニアに向いていない人
フリーランスWebエンジニアに向いている人
フリーランスWebエンジニアに向いている人には、次のような特徴があります。
- Webエンジニアの経験が豊富な人
- 向上心がある人
- 自己管理能力がある人
Webエンジニアのフリーランスで働くには、スキルや実績が欠かせません。会社員や独学などでWebエンジニアの経験があれば働くイメージがつきやすいうえに、スムーズに仕事が進められます。
また、フリーランスは会社員と異なり、研修や昇給システムはありません。仕事を進めつつ自分で時間を作り、新たなスキルを身に着けなければ、高単価案件の獲得は困難です。
つまり、自らスキルや経験などを積みたいといった向上心を持つことが大切になります。加えて、案件のスケジュールを検討しながら、スキルアップする時間を作るための自己管理能力も必須なのです。
フリーランスWebエンジニアに向いていない人
一方で、フリーランスWebエンジニアに向かないのは、次のような人です。
- コミュニケーション能力が低い人
- 責任感がない人
- 継続的にスキルアップができない人
フリーランスWebエンジニアは、自分で案件を獲得して仕事を進めなければなりません。案件獲得にはクライアントとの面談があり、スキルや実績などのアピールが必要です。
加えて、仕事を進めるうえで疑問点や不明点があれば、積極的にクライアントへの相談が大切になります。「これでいいか」と自己判断すると修正作業が増えてしまい、万が一納期までに納品できなければ、クライアントに責任感がないと判断されるのです。
また、習得したスキルのみでWebエンジニアの案件を獲得し続けようとしても、仕事が途切れることがあります。Webエンジニアの仕事では、使用するプログラミング言語がプロジェクトごとに異なります。
Webエンジニアには、クラウドやデータベースといった関連スキルの習得も欠かせません。
フリーランスのミカタでは
フリーランスエンジニアの方向けの高単価案件を多く扱っています。
ご興味のある方は下記バナーからお問い合わせください。
フリーランスWebエンジニアに未経験からなる5STEP

ここまで読み進めると、自力で稼げるフリーランスWebエンジニアになりたいと感じた方もいるでしょう。ここからは、未経験からフリーランスWebエンジニアを目指すSTEPを解説していきますね。
次のステップに従うと、未経験者でもフリーランスWebエンジニアになれます。
- STEP1:スキルの習得
- STEP2:SNSの活用
- STEP3:クラウドソーシングサービスで案件獲得
- STEP4:ポートフォリオを作成
- STEP5:エージェントサービスへ登録
それぞれ解説していきます。
STEP1:スキルの習得
はじめに、Webエンジニアとしてのスキルを学びましょう。
実力主義のフリーランスとして仕事をしていく以上、スキル習得は必須条件です。Webエンジニアの学習教材は、書籍や学習サイトなど豊富にあり、独学でも十分に学べます。
もし、独学が心配なら、プログラミングスクールに通うのも1つの手でしょう。現在ではオンラインスクールも多くあるため、自分に合う学習方法で効率的にスキルを習得できます。
また、会社員Webエンジニアとして実務経験を積んだのちに、フリーランスとして独立する選択もあります。未経験者でも受注可能な案件はあるものの、案件の幅が限られているのは確かです。
初めから幅広い案件を獲得したい方は、会社員で実務経験を積んでから独立することも視野に入れましょう。
STEP2:SNSの活用
スキルを習得したら、案件獲得に向けて仕事用としてSNSを活用しましょう。SNSを活用すれば、フリーランス間の人脈形成や仕事の紹介、案件獲得に繋がります。
近年SNSが発達したおかげで、実績やスキルを公開することにより集客効果が期待でき、仕事獲得に大きく役立ちます。
また、スキルや実績の他にもあなたの考え方・目標など、あなた自身の情報を載せるのも効果的です。依頼者側は、あなたの人柄を知れると仕事を依頼しやすくなるので、あなた自身の認知度も今から高めていきましょう。
STEP3:クラウドソーシングサービスで案件獲得
いよいよ本格的に、案件獲得に向けて動き出しましょう。
初めは、クラウドソーシングサービスで案件を探すことがおすすめです。なぜなら、単価は低いものの、未経験でも受注可能な案件が多いからです。クラウドソーシングサービスは駆け出しのフリーランスにとっては、比較的案件獲得がしやすい傾向があります。
実績・スキルが確立できていない現段階では、単価は度外視してフリーランスWebエンジニアとしての経験を積むことを優先させましょう。実績が伴っていくに連れて、高単価の案件も獲得できるようになっていくので安心してください。
STEP4:ポートフォリオを作成
案件をこなしてきたら、ポートフォリオを作成しましょう。
ポートフォリオはあなたの実績やスキルをまとめた営業ツールであり、案件獲得に大きく役立ちます。そのため、ここまでの仕事で培ってきたあなたの経験、スキル、成果物をポートフォリオとしてまとめておきましょう。
また、STEP2から活用しているSNSとも連動させることにより、より高い効果が期待できますよ。
SNSの強みでもある、不特定多数の人への発信に加え、ポートフォリオによる実績の証明が合わさることにより、高い集客効果を生むでしょう。
STEP5:エージェントサービスへ登録
ポートフォリオの作成ができたら、より高単価な案件を求めてエージェントサービスへ登録しましょう。
エージェントサービスはクラウドソーシングサービスとは異なります。自ら案件を探すのではなく、エージェントがあなたの希望に沿って案件を代わりに探してくれるのが特徴です。
また、確定申告や福利厚生などフリーランスへのサポート面も充実しているため、あなたは自分の仕事へ専念できますよ。
エージェントサービスは複数存在しており、それぞれに扱っている案件の特徴や得意なジャンルが違ってきていますので、案件獲得率を高めるためにも複数の媒体に登録することをおすすめします。
フリーランスWebエンジニアとして独立するために身に着けておきたいスキル

フリーランスWebエンジニアへの独立前に、経験しておきたい言語や業務内容を確認していきましょう。フリーランスWebエンジニアとして独立するために身に着けておきたいスキルは、次の4つです。
- Web系言語での開発経験
- LAMP環境での開発経験
- 簡単なネットワーク・サーバー周りの知識
- データベース・クラウドに関する知識
それぞれ解説していきます。
Web系言語での開発経験
Web系開発ではよく用いられる言語が大まかに決められています。
Web系言語はプログラミング言語の中でも比較的難易度が低めな言語が多いです。そのため、新しい言語を学ぶにしてもそれほど習得は難しくありません。
1年ほど経験すれば案件の獲得はできるものの、運用・保守がメインです。開発の案件へ参画するなら、1つの言語で3年以上経験を積んでから独立しましょう。
フリーランスWebエンジニアでも、言語によって案件の種類は様々です。そこで、Web系言語でも特に案件が多い言語の特徴を紹介します。
PHP
Web系言語の中ではホームページ開発やアプリケーション開発によく用いられるのがPHPです。Web系開発の現場では一番需要の高い言語であり、言語選びに迷ったらとりあえずPHPを選んでおけば間違いありません。
PHPは、他の言語と比べてフレームワークが多いのが特徴です。Web開発ではフレームワークを多用します。習得するフレームワークにより獲得可能な案件数が異なるため、トレンドを確認して学習するのが賢明です。
現在のフレームワークのトレンドはLaravelであり、習得することをおすすめします。
Ruby
需要は下がりつつありますが、それでも案件数が多く、できると仕事に困らないのがRubyです。
Ruby案件は小規模開発が多く、リモート案件も多いので、客先常駐ではなくリモートで働きたいと思っている人は狙い目の言語でしょう。
Java
オープン系でよく用いられるJavaですが、Web系開発の案件も多いです。
Javaは他の言語と比べて難易度が高いものの、他の言語を学ぶときに応用が利きやすいのがメリットです。Javaを使うと堅牢なシステムを開発できるため、学習するのみでもエンジニアとしての経験値を上げられます。
Webアプリケーションだけでなく、Androidアプリ開発にも用いられる言語であり、スマホアプリ・ゲーム開発に挑戦したいならJava一択です。
Python
Web系開発の中でも勢いがあるのが、Pythonです。
Pythonと言われるとAIや機械学習を連想する方も多いでしょう。Web系開発もスムーズに行えることから、ベンチャー企業を中心にPythonを採用する企業が増えています。
Pythonのメリットは、開発スピードの速さとコードの書きやすさです。簡単な応募フォームなどもフレームワークを使うことでスムーズにできるため、初心者でも取り扱いやすい言語と言えるでしょう。
ただ、Python案件はトレンドということもあって人気が高く、実務経験が無いとなかなか案件が獲得できない状況です。
そのため、Pythonを使ったWeb開発案件にどうしても参画したいのなら、まずはPythonを使って開発を行っている企業への転職も検討しましょう。
Go言語
Go言語はGoogleが開発した言語であり、Webサービスやアプリ開発などに用いられます。Go言語はGoogleが開発しているので、WebブラウザChromeとの相性の良さが強みです。
現在全ブラウザのシェアのうちの半分をChromeが占めており、今後さらにシェアは伸びていくことが予測されるので、Go言語のWeb系開発において需要が伸びそうですね。
また、まだ使いこなせるエンジニアが限られているので、Go言語は単価も高めな傾向があります。未経験OKの案件も多いため、すでに言語を1つ以上習得しているならGo言語にも挑戦してみましょう。
LAMP環境での開発経験
運用保守だけでなく開発以上の工程に参画したいなら、LAMP環境での開発経験が必須です。LAMP環境とは、Linux・Apache(Webサーバー)・MySQL・PHPの頭文字を取ったものです。
Webエンジニアはプログラミング言語のスキルだけでは仕事に繋がりにくいので、自らLAMP環境で開発経験を積むことも大切です。
簡単なネットワーク・サーバー周りの知識
Web開発の現場では、開発もインフラ周りも自分で行うのが基本です。
基本的なレベルを身に着けて自分でサーバーを立てるなどを経験して、ネットワーク・サーバーの知識を身に着けましょう。
データベース・クラウドに関する知識
Webエンジニアとして必須なのがデータベース周りの知識です。
上流工程ではデータベース設計や開発はプログラミングだけでなくSQLも書く必要があります。Webエンジニアとして活躍するならデータベースに関連する知識も深めましょう。
しかし、近年ではコスト削減などの目的で、データベース・サーバーをクラウド化する企業が増えてきています。
クラウドといえば、AWSやGCP、Azureなどが有名です。クラウドを使いこなせるエンジニアは特に重宝されるので、データベースと並行してクラウドの知識も深めていくと良いでしょう。
フリーランスWebエンジニアの体験談

ここでは、フリーランスWebエンジニアの方の体験談を紹介します。
フリーランスWebエンジニアを目指す場合には、噂話に惑わされることもあるでしょう。情報を全て鵜呑みにするのではなく、どんな人が発言しているのかを確認するのが賢明です。
目的なくフリーランスへ独立し、思うように仕事を獲得できない人が情報を伝えている可能性もあります。
また、クライアントの近くで仕事をすると、多くのことを得られると考える方もいます。フリーランスの自由な働き方に捕らわれずに、経験や刺激を得るために客先常駐の働き方も検討してみましょう。
フリーランスWebエンジニアの案件をお探しならフリーランスのミカタで

本サイトを運営するフリーランスのミカタでは、フリーランスWebエンジニアの求人を掲載しています。フリーランスのミカタではコンサルタントが専任。案件の紹介から参画後まで一貫して手厚異サポートが可能です。
そのため、初めてフリーランスとして働くWebエンジニアの方も安心ですよ。フリーランスのミカタの取り扱い求人数は6,000件以上。求人の中にはPythonやGo言語などトレンド技術のものも多いです。
自分が気になる技術の案件を探すにあたっては、フリーランスのミカタを活用してみましょう。
フリーランスのミカタについてより具体的に知りたい方は、下記の記事にて解説していますので合わせてご覧ください。
→フリーランスのミカタとは?サービス内容や特徴、メリット・デメリット、口コミも紹介
まとめ
今回は、フリーランスWebエンジニアの仕事内容から案件の種類、年収を紹介してきました。
フリーランスWebエンジニアは自分のスキル次第で案件単価が決まります。若いうちから稼いでいきたい方は、今回紹介したスキルを習得し、磨きをかけましょう。
また、未経験からフリーランスWebエンジニアを目指したい方は以下のSTEPに沿って行動を開始してください。
- STEP1:スキルの習得
- STEP2:SNSの活用
- STEP3:クラウドソーシングサービスで案件獲得
- STEP4:ポートフォリオを作成
- STEP5:エージェントサービスへ登録
まずは、Webエンジニアとしての実績を積むことが重要です。


